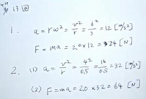
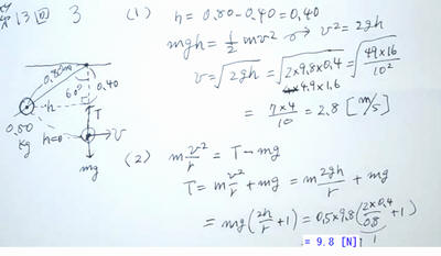
第15回 3月28日
第13回の練習問題の解答動画
今回は「慣性力(かんせいりょく)」。
作用反作用の法則を思い出して下さい。物体に力がはたらくときは、必ず相手の物体があります。2つの物体どうしで互いに及ぼしあうのが力でした。私たちがいつも受けている重力だって、地球が相手です。
相手の物体が分からないなら、そんな力は怪しんだ方が良いのでした。
慣性力が見える時
今回取り上げる慣性力は、実は相手が存在しないのです。それは、例えばバスや電車が加速したりブレーキをかけた時などにその車内で見られます。
電車が一定の加速度
で加速している時を考えます。吊り革でも良いですが、電車の天井から質量mの重りが糸でぶら下がっているとします。電車が加速している時、重りの糸は斜めになっています。この現象を見ている人の立場によって違いが出てきます。
| <電車の外にいる人の視点> 重力と張力との合力 が重りにかかっている。その合力が重りに加わわるので、重りは加速度運動をしている。重りについての運動方程式は となる。 |
![]() |
| <電車の中にいる人の視点> 重力と張力との合力 が重りにかかっても静止しているのは、後方向きの力 'を受けているためと考えられる。つまり、力のつりあいだ。![]() 運動方程式を書くなら である。 |
![]() |
以上の違いが分かっただろうか。外の人は重りが力を受けて加速していると見るが、中の人にとっては、重りが静止しているので、つりあわせる力として慣性力が見えるのです。
「見える」と言っていますが、そう感じられるだけの錯覚というわけではありません。たとえばつり革に何Nの慣性力がはたらいているか、ばねはかりを使えば、測ることができます。
加速度
で運動している電車の中では,質量mの物体に,大きさがma
で,加速度と逆の向きに慣性力が観測されます。
![]()
練習問題1 走っている電車がブレーキをかけ、-2.0m/s2の加速度で減速している時、質量50kgの人はどんな力を受けるか。大きさと方向を答えよ。
答え: 慣性力 1.0×102 N,
電車の進行方向
| 練習問題2 図のように,加速度運動する電車内で,物体をつり下げた糸が鉛直方向からθだけ傾いて,静止して見える。重力加速度の大きさをg 〔m/s2〕として,電車の加速度の大きさを求めよ。 答え:g tan θ 〔m/s2〕 |
![]() |
ガリレイの相対性原理
慣性力の相手は存在しないので、反作用はありません。ということは、作用反作用の法則が成り立たっていないのです。このような乗り物、加速度運動をしているバスや電車、エレベーター等の中を「非慣性系」といいます。
それに対して、等速直線運動をしている乗り物の中は「慣性系」といいます。慣性系に居る人は、つまり、等速直線運動をしている系内の観測者は、慣性力を見ることはありません。もちろん作用反作用はかならず成り立っています。静止している時と全く同じ物理法則が成り立ちます。このことを「ガリレイの相対性原理」と呼びます。
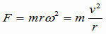
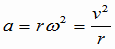
等速円運動をしている乗り物は
例えば自動車がカーブを走っている時の車内はどうでしょうか? そうです、円運動の加速度運動なので、非慣性系です。だから、乗っている人は慣性力が見えます。円運動のために現れる慣性力は特別に名前がつけられていて遠心力と呼ばれます。これなら、聞いたことがあるはずです。
|
左に回るカーブを回っているとしましょう。座席に乗っている人は身体が右に引っ張られます。これが遠心力です。もちろん身体を引っ張っている物体は存在しません。 遠心力も慣性力の一つですから、車の運動の加速度が であれば、身体が受ける遠心力は、 です。たしか円運動の加速度の大きさは なので遠心力の大きさは ここでv は自動車の速さ、r はカーブの半径であり,m は身体の質量です。 |
![]() |
| <車内の人から見ると> 右向きに遠心力を受けます。 遠心力の大きさは ドアから押される力とつり合い、自分は静止しています。 |
![]() |
| <地上の人から見ると> この人はドアから押されています。 その力が向心力となって、円運動をしています。 向心力の大きさは |
![]() |
|
例題 宇宙飛行士が長時間宇宙に滞在すると、無重量状態が身体に影響を及ぼすことが分かっている。そこで長い間宇宙で暮らすための宇宙ステーションは、 図のようにリング状にして常に回転させている設計にすれば良い。こうすれば,外周部では遠心力が人工重力となり,地上のように暮らすことができる。1分間に2回転(=0.21rad/s)で回転させることにすると、リングの半径を何mにすれば、地上の重力加速度9.8m/s2と同じにできるだろうかか。計算せよ。 |
答え:
質量mにかかる遠心力は
である。
これが重力mgに等しければよりので
これより

| 練習問題 4 一定の加速度で運動するエレベーターの中で,質量60 kgの人Aが体重計に乗ったところ,体重計は66 kgを示した。 次の問に答えよ。ただし,鉛直上向きを正とし,重力加速度の大きさgを9.8 m/s2とする。 (1)BとC、それぞれの視点でAの運動についての運動方程式を立てよ。 (2)エレベーターの加速度を求めよ。 答え(2)鉛直上向きに0.98 m/s |
![]() |
| 5 水平に等加速度直線運動をする電車内に,おもりが天井から糸でつるされている。図のように,電車内の観測者には,おもりは,糸と鉛直方向とのなす角がθとなる位置で静止して見えた。重力加速度の大きさをgとする。 |
![]() |
(1) 電車の加速度の大きさはいくらか。
この加速度で電車が走行しているとき,糸が切れたとする。
(2) 電車内の人から見ると,おもりの運動はどのように見えるか。
(3) 電車外で静止している人から見ると,おもりの運動はどのように見えるか。
| 6 円筒形の部屋が回転する乗り物に,人が乗っている。円の中心から人までの距離をR,回転数をnとする。部屋とともに回転する人は,壁に押しつけられるような力を感じる。重力加速度の大きさをgとして,次の各問に答えよ。 | ![]() |
(1) 人の質量をmとすると,人が壁に押しつけられる力の大きさはいくらか。
(2) 人と壁の間の静止摩擦係数をμとする。床がなくても壁に押しつけられた人がすべり落ちなくなるのは,回転数がいくら以上になったときか。
答え (1)
4π2mRn2
(2)
(セミナーの問題です。)
今回の課題
☆内容をノートにまとめる。
☆練習問題 を解答する。
・完了したら、掲示板に報告しなさい。